Классы
1 класс
2 класс
3 класс
4 класс
5 класс
6 класс
7 класс
8 класс
9 класс
10 класс
11 класс
Предметы
Алгебра
Английский язык
Белорусский язык
Биология
География
Геометрия
Естествознание
Информатика
Искусство
История
Кубановедение
Литература
Математика
Музыка
Немецкий язык
ОБЖ
Обществознание
Окружающий мир
Основы здоровья
Природоведение
Русский язык
Технология
Украинский язык
Физика
Французский язык
Химия
Человек и мир
Я исследую мир
ГДЗ
8 класс
Алгебра
Арефьева
7
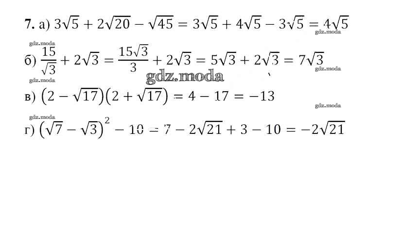
ОТВЕТ на задание № 7 Учебник по Алгебре 8 класс Арефьева
Показать содержание
← Предыдущее
Следующее →
Решебник №1
глава 1 / я проверяю свои знания / 7
Решебник №2
глава 1 / я проверяю свои знания / 7
Показать содержание
← Предыдущее
Следующее →
ГДЗ решение к заданию № 7 Алгебра 8 класс Арефьева И.Г. Народная асвета 2018 ФГОС бесплатно на гдз.мода!