Классы
1 класс
2 класс
3 класс
4 класс
5 класс
6 класс
7 класс
8 класс
9 класс
10 класс
11 класс
Предметы
Алгебра
Английский язык
Белорусский язык
Биология
География
Геометрия
Естествознание
Информатика
Искусство
История
Кубановедение
Литература
Математика
Музыка
Немецкий язык
ОБЖ
Обществознание
Окружающий мир
Основы здоровья
Природоведение
Русский язык
Технология
Украинский язык
Физика
Французский язык
Химия
Человек и мир
Я исследую мир
ГДЗ
8 класс
Алгебра
дидактические материалы Феоктистов
вариант 3
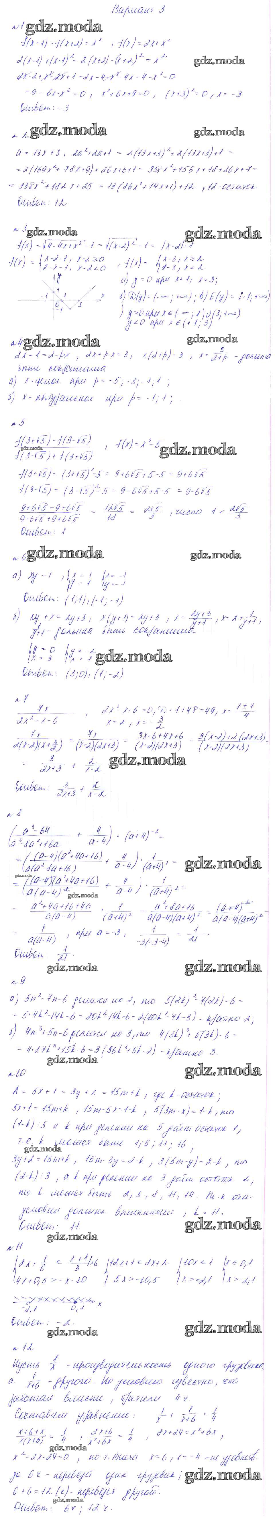
ОТВЕТ на задание № вариант 3 Дидактические материалы по Алгебре 8 класс Феоктистов
Показать содержание
← Предыдущее
Следующее →
Решебник
контрольная работа / итоговая кр / вариант 3
Показать содержание
← Предыдущее
Следующее →
ГДЗ решение к заданию № вариант 3 Алгебра 8 класс Дидактические материалы Феоктистов Мнемозина 2013 ФГОС бесплатно на гдз.мода!