Классы
1 класс
2 класс
3 класс
4 класс
5 класс
6 класс
7 класс
8 класс
9 класс
10 класс
11 класс
Предметы
Алгебра
Английский язык
Белорусский язык
Биология
География
Геометрия
Естествознание
Информатика
Искусство
История
Кубановедение
Литература
Математика
Музыка
Немецкий язык
ОБЖ
Обществознание
Окружающий мир
Основы здоровья
Природоведение
Русский язык
Технология
Украинский язык
Физика
Французский язык
Химия
Человек и мир
Я исследую мир
ГДЗ
8 класс
Алгебра
дидактические материалы Евстафьева
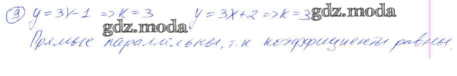
9
ОТВЕТ на задание № 9 Дидактические материалы по Алгебре 8 класс Евстафьева
Показать содержание
← Предыдущее
Следующее →
Решебник 1
обучающая работа / о-25 / 9
Показать содержание
← Предыдущее
Следующее →
ГДЗ решение к заданию № 9 Алгебра 8 класс Дидактические материалы Евстафьева Л.П. Просвещение 2017 ФГОС бесплатно на гдз.мода!