Классы
1 класс
2 класс
3 класс
4 класс
5 класс
6 класс
7 класс
8 класс
9 класс
10 класс
11 класс
Предметы
Алгебра
Английский язык
Белорусский язык
Биология
География
Геометрия
Естествознание
Информатика
Искусство
История
Кубановедение
Литература
Математика
Музыка
Немецкий язык
ОБЖ
Обществознание
Окружающий мир
Основы здоровья
Природоведение
Русский язык
Технология
Украинский язык
Физика
Французский язык
Химия
Человек и мир
Я исследую мир
ГДЗ
8 класс
Алгебра
Дорофеев Учебник
274
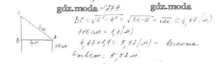
ОТВЕТ на задание № 274 Учебник по Алгебре 8 класс Дорофеев
Показать содержание
← Предыдущее
Следующее →
Решебник №1
упражнение / 274
Решебник №2
упражнение / 274
Решебник №3
упражнение / 274
Показать содержание
← Предыдущее
Следующее →
ГДЗ решение к заданию № 274 Алгебра 8 класс Дорофеев, Суворова Просвещение 2014 ФГОС бесплатно на гдз.мода!