Классы
1 класс
2 класс
3 класс
4 класс
5 класс
6 класс
7 класс
8 класс
9 класс
10 класс
11 класс
Предметы
Алгебра
Английский язык
Белорусский язык
Биология
География
Геометрия
Естествознание
Информатика
Искусство
История
Кубановедение
Литература
Математика
Музыка
Немецкий язык
ОБЖ
Обществознание
Окружающий мир
Основы здоровья
Природоведение
Русский язык
Технология
Украинский язык
Физика
Французский язык
Химия
Человек и мир
Я исследую мир
ГДЗ
8 класс
Алгебра
Дорофеев Учебник
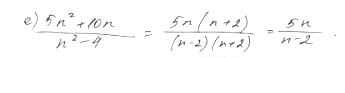
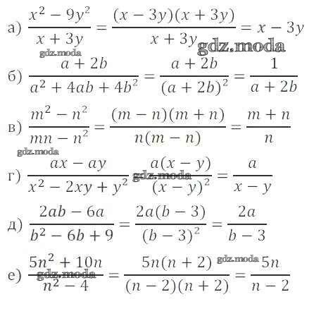
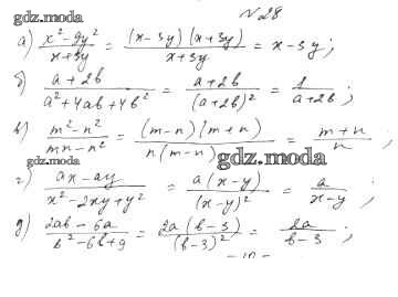
28
ОТВЕТ на задание № 28 Учебник по Алгебре 8 класс Дорофеев
Показать содержание
← Предыдущее
Следующее →
Решебник №1
упражнение / 28
Решебник №2
упражнение / 28
Решебник №3
упражнение / 28
Показать содержание
← Предыдущее
Следующее →
ГДЗ решение к заданию № 28 Алгебра 8 класс Дорофеев, Суворова Просвещение 2014 ФГОС бесплатно на гдз.мода!