Классы
1 класс
2 класс
3 класс
4 класс
5 класс
6 класс
7 класс
8 класс
9 класс
10 класс
11 класс
Предметы
Алгебра
Английский язык
Белорусский язык
Биология
География
Геометрия
Естествознание
Информатика
Искусство
История
Кубановедение
Литература
Математика
Музыка
Немецкий язык
ОБЖ
Обществознание
Окружающий мир
Основы здоровья
Природоведение
Русский язык
Технология
Украинский язык
Физика
Французский язык
Химия
Человек и мир
Я исследую мир
ГДЗ
8 класс
Алгебра
контрольные работы Дудницын
1
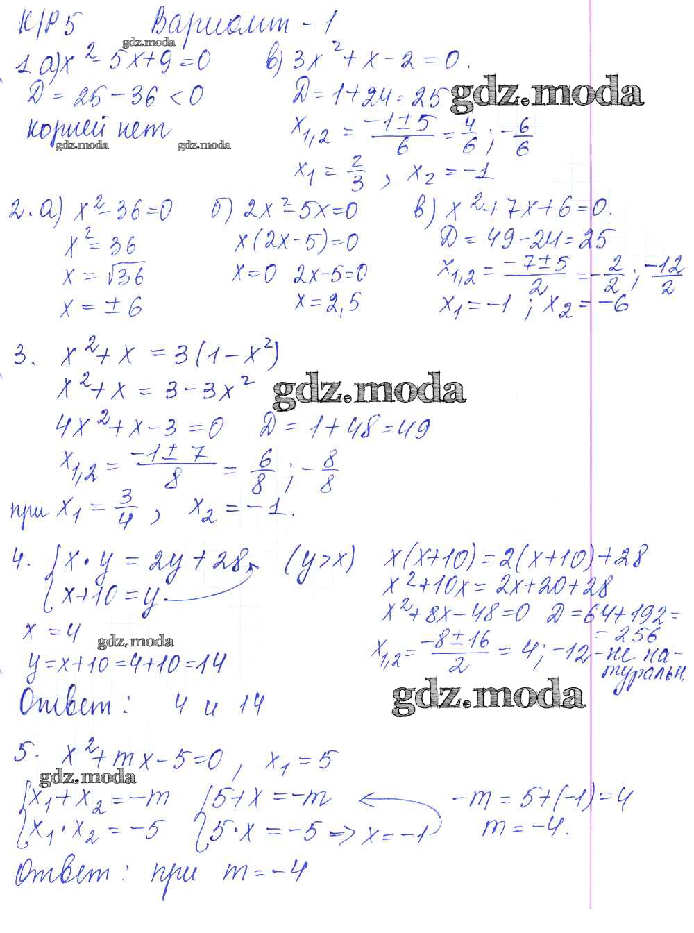
ОТВЕТ на задание № 1 Контрольные работы по Алгебре 8 класс Дудницын УМК
Показать содержание
← Предыдущее
Следующее →
Решебник
кр-5. вариант / 1
Показать содержание
← Предыдущее
Следующее →
Все ГДЗ по
Алгебре 8 класс УМК
ГДЗ решение к заданию № 1 Алгебра 8 класс контрольные работы Дудницын Ю.П. Экзамен 2010 ФГОС бесплатно на гдз.мода!