Классы
1 класс
2 класс
3 класс
4 класс
5 класс
6 класс
7 класс
8 класс
9 класс
10 класс
11 класс
Предметы
Алгебра
Английский язык
Белорусский язык
Биология
География
Геометрия
Естествознание
Информатика
Искусство
История
Кубановедение
Литература
Математика
Музыка
Немецкий язык
ОБЖ
Обществознание
Окружающий мир
Основы здоровья
Природоведение
Русский язык
Технология
Украинский язык
Физика
Французский язык
Химия
Человек и мир
Я исследую мир
ГДЗ
8 класс
Алгебра
сборник задач Галицкий
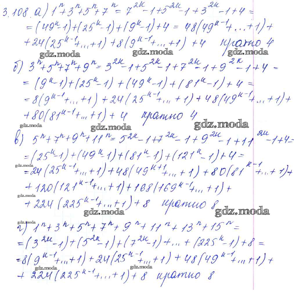
3.108
ОТВЕТ на задание № 3.108 Сборник задач по Алгебре 8 класс Галицкий
Показать содержание
← Предыдущее
Следующее →
Решебник
§3 / 3.108
Показать содержание
← Предыдущее
Следующее →
ГДЗ решение к заданию № 3.108 Алгебра 8 класс Сборник задач Галицкий М.Л. Просвещение 2019 ФГОС бесплатно на гдз.мода!