Классы
1 класс
2 класс
3 класс
4 класс
5 класс
6 класс
7 класс
8 класс
9 класс
10 класс
11 класс
Предметы
Алгебра
Английский язык
Белорусский язык
Биология
География
Геометрия
Естествознание
Информатика
Искусство
История
Кубановедение
Литература
Математика
Музыка
Немецкий язык
ОБЖ
Обществознание
Окружающий мир
Основы здоровья
Природоведение
Русский язык
Технология
Украинский язык
Физика
Французский язык
Химия
Человек и мир
Я исследую мир
ГДЗ
8 класс
Алгебра
сборник задач Галицкий
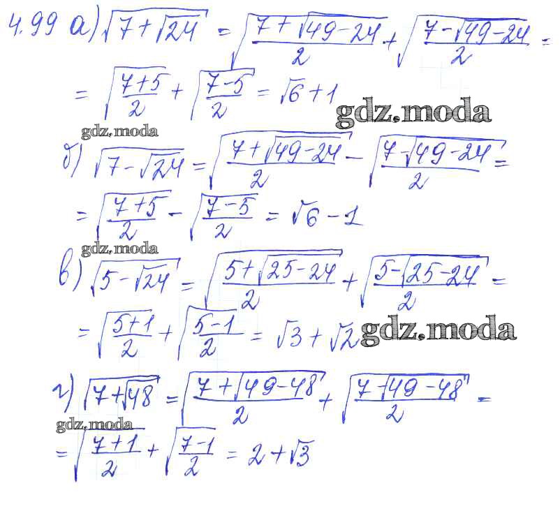
4.99
ОТВЕТ на задание № 4.99 Сборник задач по Алгебре 8 класс Галицкий
Показать содержание
← Предыдущее
Следующее →
Решебник
§4 / 4.99
Показать содержание
← Предыдущее
Следующее →
ГДЗ решение к заданию № 4.99 Алгебра 8 класс Сборник задач Галицкий М.Л. Просвещение 2019 ФГОС бесплатно на гдз.мода!