ОТВЕТ на задание № 4 Контрольные работы по Алгебре 8 класс Александрова УМК Базовый уровень

Решебник 2

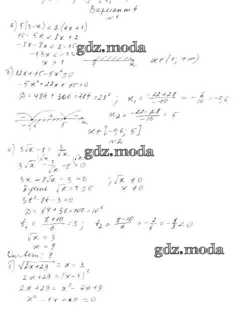
контрольная работа / кр-8. вариант / 4

Решебник 3

контрольная работа / кр-8. вариант / 4

Все ГДЗ по Алгебре 8 класс УМК

ГДЗ решение к заданию № 4 Алгебра 8 класс контрольные работы Александрова Л.А. Мнемозина 2016 Базовый уровень ФГОС бесплатно на гдз.мода!