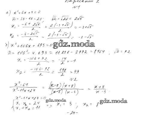
ОТВЕТ на задание № 2 Контрольные работы по Алгебре 8 класс Александрова УМК Базовый уровень

Решебник

контрольная работа / кр-7. вариант / 2

Решебник 2

контрольная работа / кр-7. вариант / 2

Решебник 3

контрольная работа / кр-7. вариант / 2

Все ГДЗ по Алгебре 8 класс УМК

ГДЗ решение к заданию № 2 Алгебра 8 класс контрольные работы Александрова Л.А. Мнемозина 2016 Базовый уровень ФГОС бесплатно на гдз.мода!