Классы
1 класс
2 класс
3 класс
4 класс
5 класс
6 класс
7 класс
8 класс
9 класс
10 класс
11 класс
Предметы
Алгебра
Английский язык
Белорусский язык
Биология
География
Геометрия
Естествознание
Информатика
Искусство
История
Кубановедение
Литература
Математика
Музыка
Немецкий язык
ОБЖ
Обществознание
Окружающий мир
Основы здоровья
Природоведение
Русский язык
Технология
Украинский язык
Физика
Французский язык
Химия
Человек и мир
Я исследую мир
ГДЗ
8 класс
Алгебра
Кузнецова
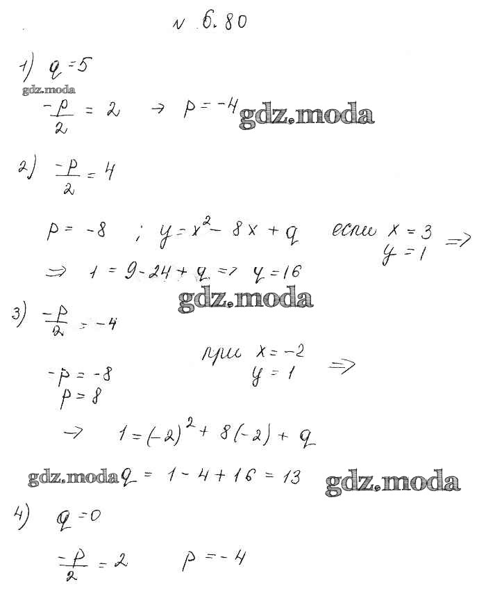
6.80
ОТВЕТ на задание № 6.80 Учебник по Алгебре 8 класс Кузнецова
Показать содержание
← Предыдущее
Следующее →
Решебник
глава 6 / 6.80
Показать содержание
← Предыдущее
Следующее →
ГДЗ решение к заданию № 6.80 Алгебра 8 класс Кузнецова Е.П. Народная асвета 2015 бесплатно на гдз.мода!