ОТВЕТ на задание № 1003 Учебник по Алгебре 8 класс Макарычев
Учебник
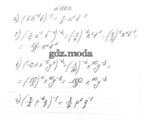
упражнение / 1003

Решебник №1
упражнение / 1003

Решебник №2
упражнение / 1003

Решебник №3
упражнение / 1003

Решебник №4
упражнение / 1003

Решебник №5
упражнение / 1003

Решебник №7
упражнение / 1003
