ОТВЕТ на задание № 1010 Учебник по Алгебре 8 класс Макарычев
Учебник
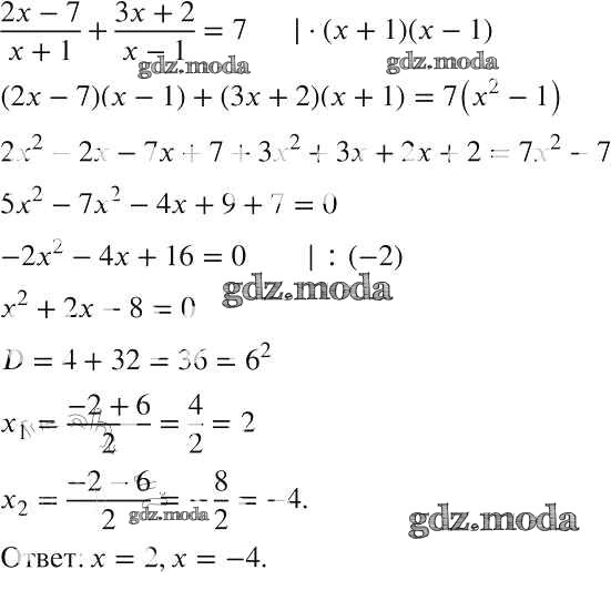
упражнение / 1010

Решебник №1
упражнение / 1010

Решебник №2
упражнение / 1010

Решебник №3
упражнение / 1010

Решебник №4
упражнение / 1010

Решебник №5
упражнение / 1010

Решебник №7
упражнение / 1010
