ОТВЕТ на задание № 1019 Учебник по Алгебре 8 класс Макарычев
Учебник
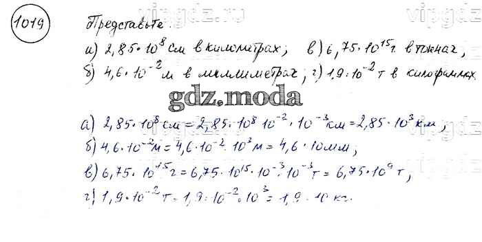
упражнение / 1019

Решебник №1
упражнение / 1019

Решебник №2
упражнение / 1019

Решебник №3
упражнение / 1019

Решебник №4
упражнение / 1019

Решебник №5
упражнение / 1019

Решебник №7
упражнение / 1019
