ОТВЕТ на задание № 1041 Учебник по Алгебре 8 класс Макарычев
Учебник
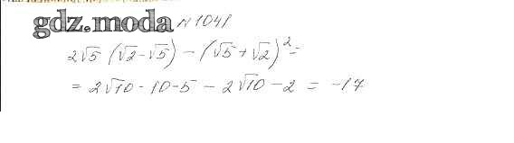
упражнение / 1041

Решебник №1
упражнение / 1041

Решебник №2
упражнение / 1041

Решебник №3
упражнение / 1041

Решебник №4
упражнение / 1041

Решебник №5
упражнение / 1041

Решебник №7
упражнение / 1041
