ОТВЕТ на задание № 1064 Учебник по Алгебре 8 класс Макарычев
Учебник
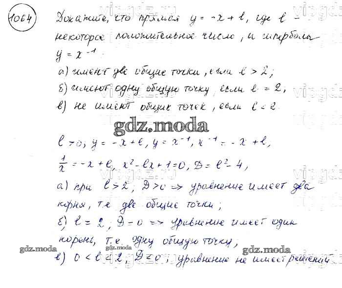
упражнение / 1064

Решебник №1
упражнение / 1064

Решебник №2
упражнение / 1064

Решебник №3
упражнение / 1064

Решебник №4
упражнение / 1064

Решебник №5
упражнение / 1064

Решебник №7
упражнение / 1064
