ОТВЕТ на задание № 1068 Учебник по Алгебре 8 класс Макарычев
Учебник
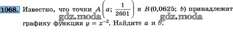
упражнение / 1068

Решебник №1
упражнение / 1068

Решебник №2
упражнение / 1068

Решебник №3
упражнение / 1068


Решебник №4
упражнение / 1068

Решебник №5
упражнение / 1068

Решебник №7
упражнение / 1068
