ОТВЕТ на задание № 1088 Учебник по Алгебре 8 класс Макарычев
Учебник
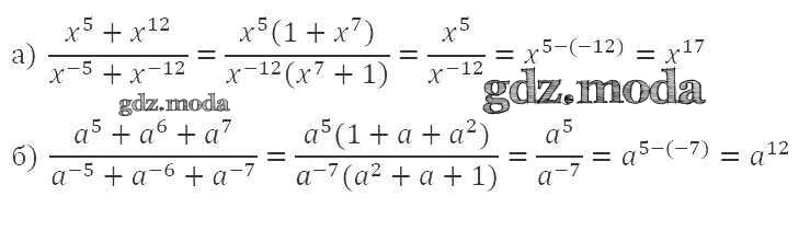
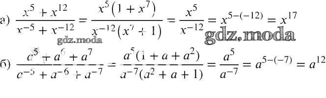
упражнение / 1088

Решебник №1
упражнение / 1088

Решебник №2
упражнение / 1088

Решебник №3
упражнение / 1088

Решебник №4
упражнение / 1088

Решебник №5
упражнение / 1088

Решебник №7
упражнение / 1088
