ОТВЕТ на задание № 1106 Учебник по Алгебре 8 класс Макарычев
Учебник
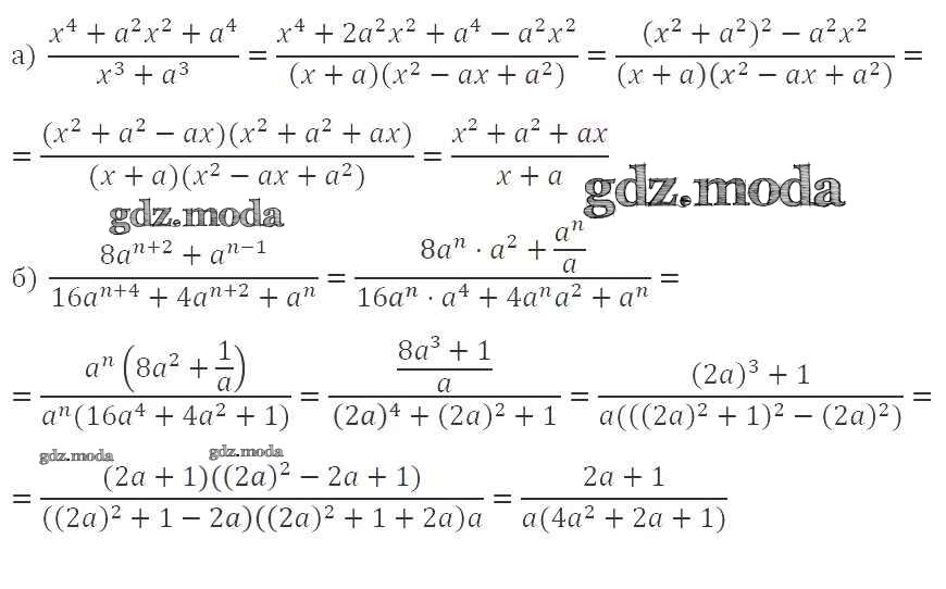
упражнение / 1106

Решебник №1
упражнение / 1106

Решебник №2
упражнение / 1106

Решебник №3
упражнение / 1106


Решебник №4
упражнение / 1106


Решебник №5
упражнение / 1106

Решебник №7
упражнение / 1106
