ОТВЕТ на задание № 1111 Учебник по Алгебре 8 класс Макарычев
Учебник
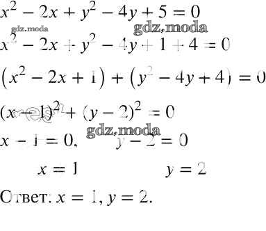
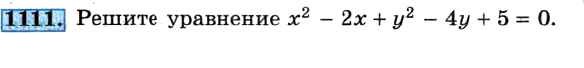
упражнение / 1111

Решебник №1
упражнение / 1111

Решебник №2
упражнение / 1111

Решебник №3
упражнение / 1111

Решебник №4
упражнение / 1111

Решебник №5
упражнение / 1111

Решебник №7
упражнение / 1111
