ОТВЕТ на задание № 1118 Учебник по Алгебре 8 класс Макарычев
Учебник
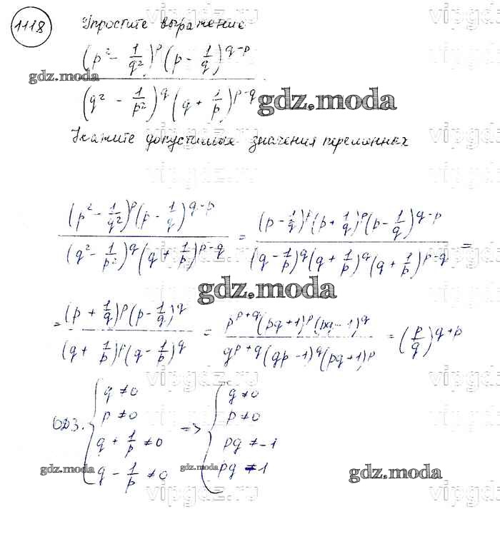
упражнение / 1118

Решебник №1
упражнение / 1118

Решебник №2
упражнение / 1118

Решебник №3
упражнение / 1118

Решебник №4
упражнение / 1118


Решебник №5
упражнение / 1118

Решебник №7
упражнение / 1118
