ОТВЕТ на задание № 1121 Учебник по Алгебре 8 класс Макарычев
Учебник
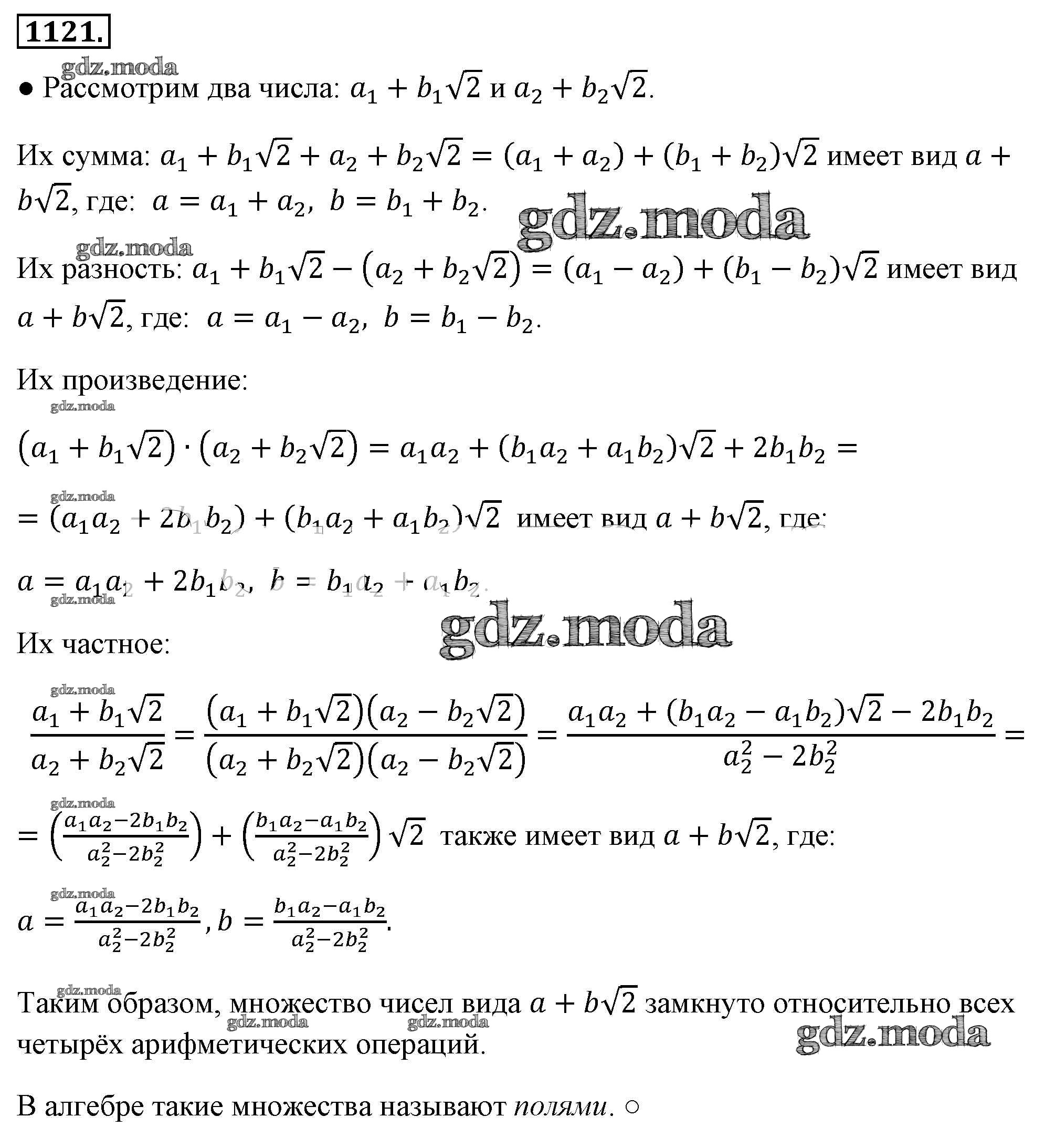
упражнение / 1121

Решебник №1
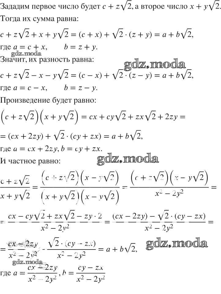
упражнение / 1121

Решебник №2
упражнение / 1121

Решебник №3
упражнение / 1121


Решебник №4
упражнение / 1121

Решебник №5
упражнение / 1121

Решебник №7
упражнение / 1121
