ОТВЕТ на задание № 113 Учебник по Алгебре 8 класс Макарычев
Учебник
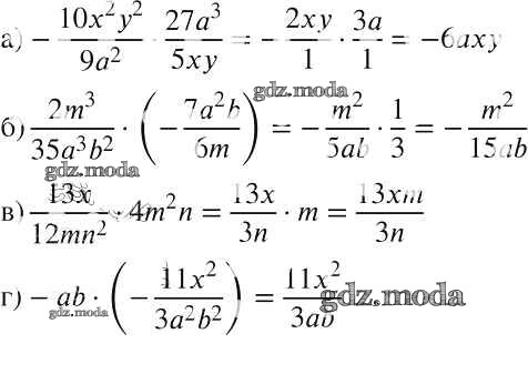
упражнение / 113

Решебник №1
упражнение / 113

Решебник №2
упражнение / 113

Решебник №3
упражнение / 113

Решебник №4
упражнение / 113


Решебник №5
упражнение / 113

Решебник №6
упражнение / 113

Решебник №7
упражнение / 113
