ОТВЕТ на задание № 1138 Учебник по Алгебре 8 класс Макарычев
Учебник
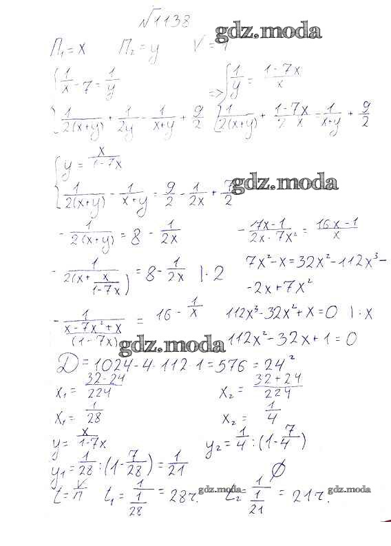
упражнение / 1138

Решебник №1
упражнение / 1138

Решебник №2
упражнение / 1138


Решебник №3
упражнение / 1138

Решебник №4
упражнение / 1138

Решебник №5
упражнение / 1138

Решебник №7
упражнение / 1138
