ОТВЕТ на задание № 1140 Учебник по Алгебре 8 класс Макарычев
Учебник
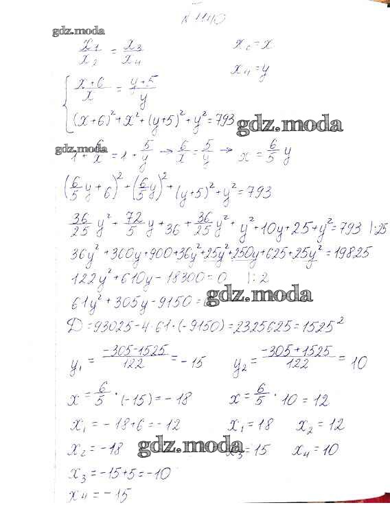
упражнение / 1140

Решебник №1
упражнение / 1140

Решебник №2
упражнение / 1140


Решебник №3
упражнение / 1140


Решебник №4
упражнение / 1140


Решебник №5
упражнение / 1140

Решебник №7
упражнение / 1140
