ОТВЕТ на задание № 116 Учебник по Алгебре 8 класс Макарычев
Учебник
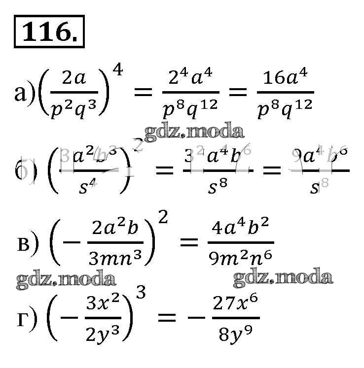
упражнение / 116

Решебник №1
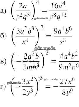
упражнение / 116

Решебник №2
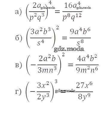
упражнение / 116

Решебник №3
упражнение / 116

Решебник №4
упражнение / 116

Решебник №5
упражнение / 116

Решебник №6
упражнение / 116

Решебник №7
упражнение / 116
