ОТВЕТ на задание № 119 Учебник по Алгебре 8 класс Макарычев
Учебник
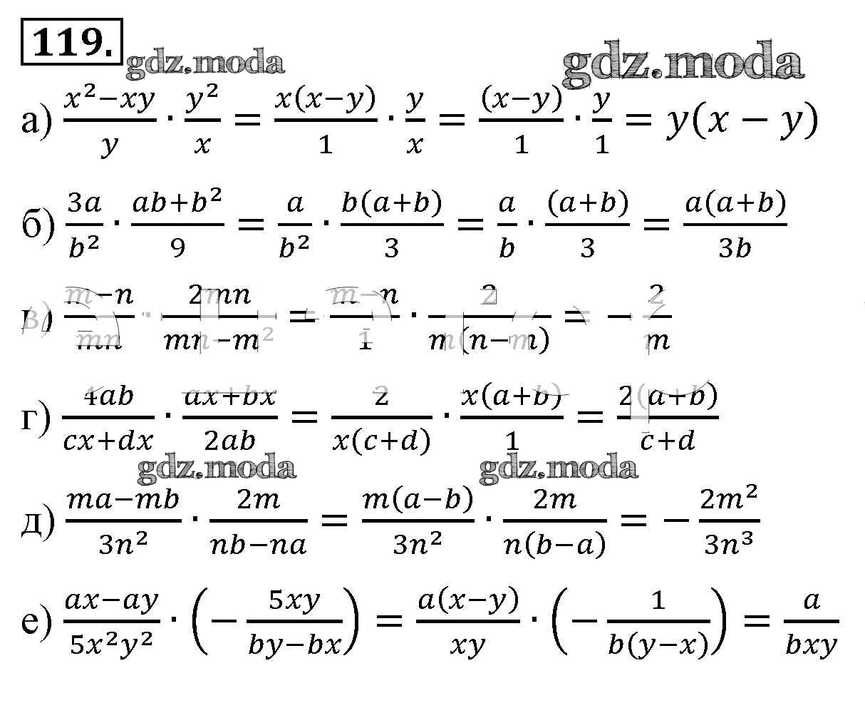
упражнение / 119

Решебник №1
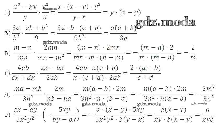
упражнение / 119

Решебник №2
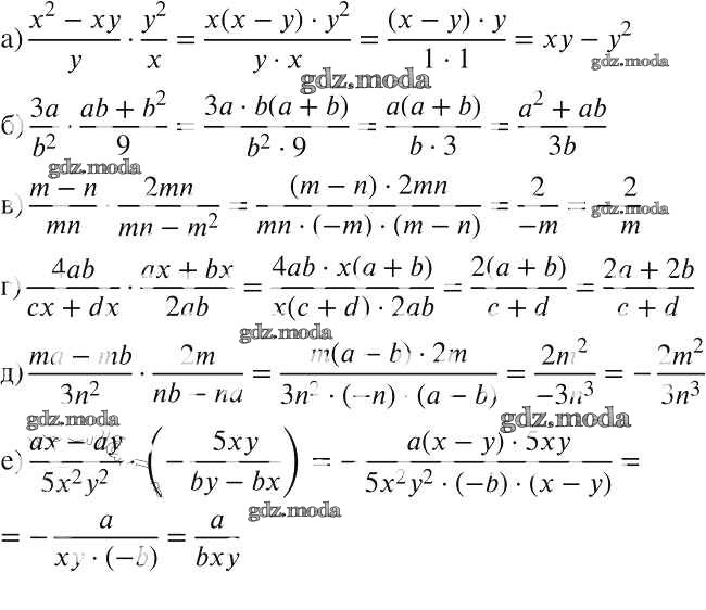
упражнение / 119

Решебник №3
упражнение / 119


Решебник №4
упражнение / 119


Решебник №5
упражнение / 119

Решебник №6
упражнение / 119

Решебник №7
упражнение / 119
