ОТВЕТ на задание № 129 Учебник по Алгебре 8 класс Макарычев
Учебник
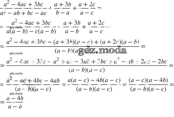
упражнение / 129

Решебник №1
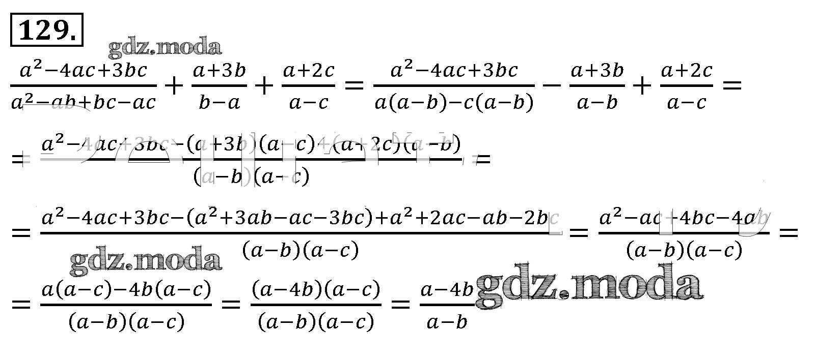
упражнение / 129

Решебник №2
упражнение / 129

Решебник №3
упражнение / 129

Решебник №4
упражнение / 129


Решебник №5
упражнение / 129

Решебник №6
упражнение / 129

Решебник №7
упражнение / 129
