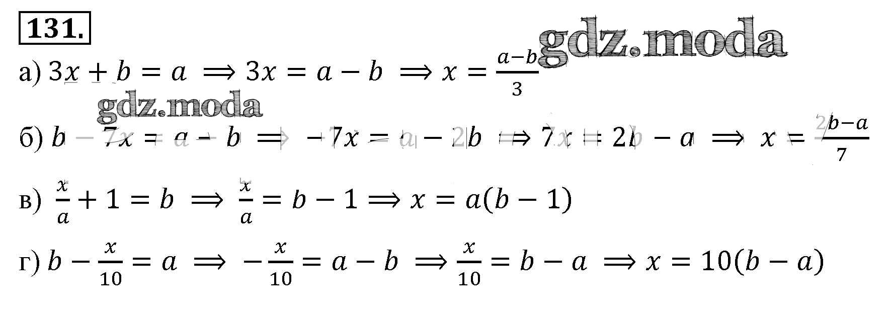
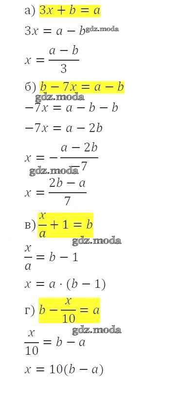
ОТВЕТ на задание № 131 Учебник по Алгебре 8 класс Макарычев
Учебник
упражнение / 131

Решебник №1
упражнение / 131

Решебник №2
упражнение / 131

Решебник №3
упражнение / 131

Решебник №4
упражнение / 131


Решебник №5
упражнение / 131

Решебник №6
упражнение / 131

Решебник №7
упражнение / 131
