ОТВЕТ на задание № 140 Учебник по Алгебре 8 класс Макарычев
Учебник
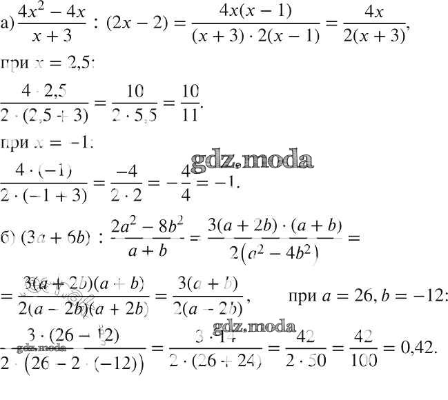
упражнение / 140

Решебник №1
упражнение / 140

Решебник №2
упражнение / 140

Решебник №4
упражнение / 140

Решебник №5
упражнение / 140

Решебник №6
упражнение / 140

Решебник №7
упражнение / 140
