ОТВЕТ на задание № 148 Учебник по Алгебре 8 класс Макарычев
Учебник
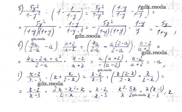
упражнение / 148

Решебник №1
упражнение / 148

Решебник №2
упражнение / 148

Решебник №3
упражнение / 148

Решебник №4
упражнение / 148


Решебник №5
упражнение / 148

Решебник №6
упражнение / 148

Решебник №7
упражнение / 148
