ОТВЕТ на задание № 160 Учебник по Алгебре 8 класс Макарычев
Учебник
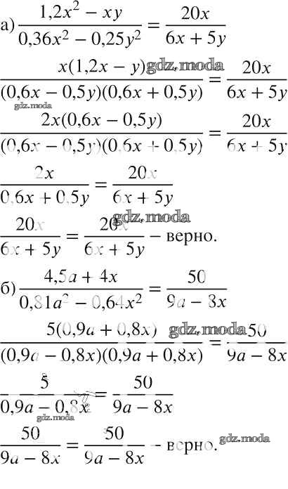
упражнение / 160

Решебник №1
упражнение / 160

Решебник №2
упражнение / 160

Решебник №3
упражнение / 160

Решебник №4
упражнение / 160


Решебник №5
упражнение / 160

Решебник №6
упражнение / 160

Решебник №7
упражнение / 160
