ОТВЕТ на задание № 17 Учебник по Алгебре 8 класс Макарычев
Учебник
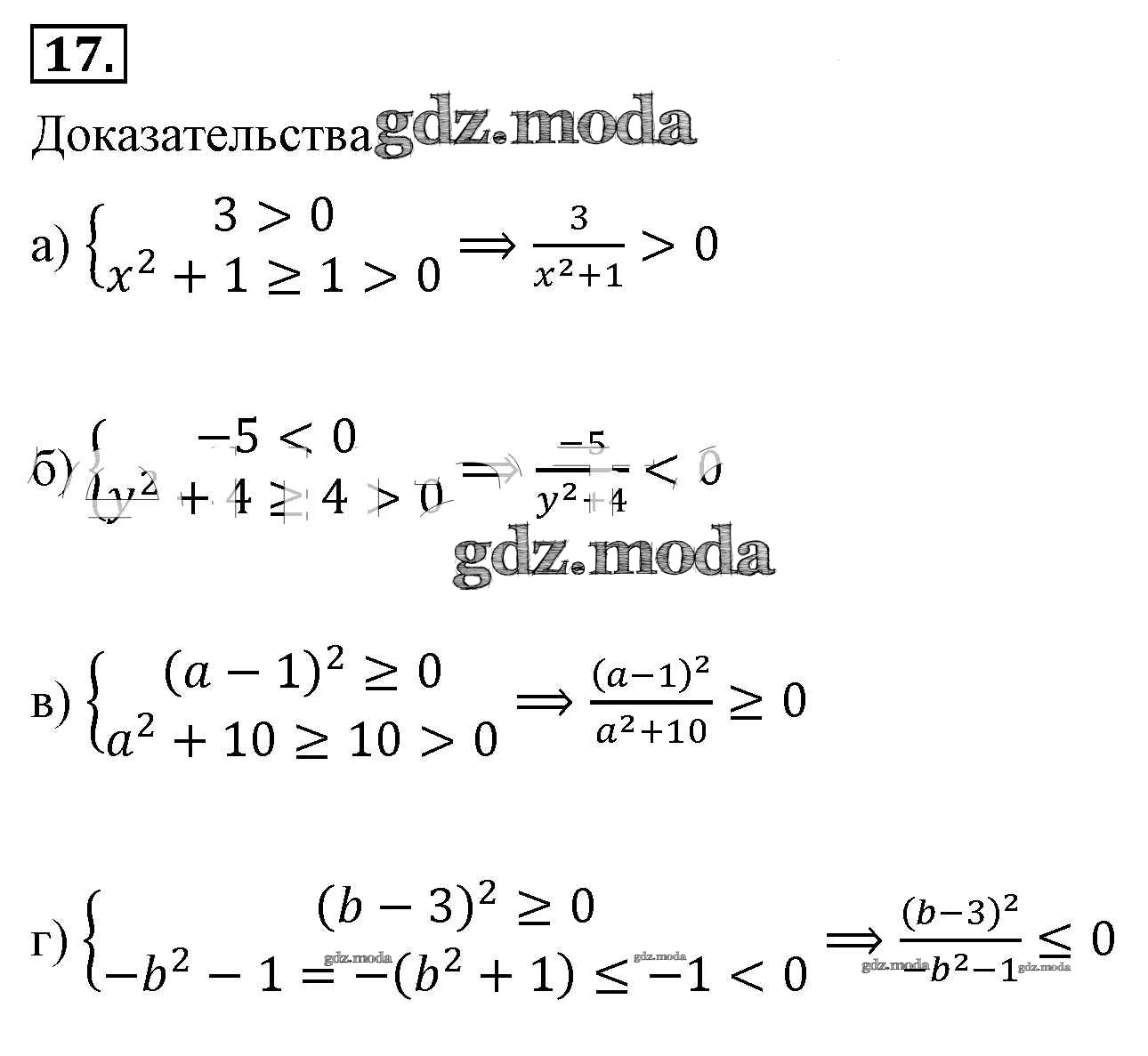
упражнение / 17

Решебник №1
упражнение / 17

Решебник №2
упражнение / 17

Решебник №3
упражнение / 17

Решебник №4
упражнение / 17



Решебник №5
упражнение / 17

Решебник №6
упражнение / 17

Решебник №7
упражнение / 17
