ОТВЕТ на задание № 181 Учебник по Алгебре 8 класс Макарычев
Учебник
упражнение / 181

Решебник №1
упражнение / 181

Решебник №2
упражнение / 181

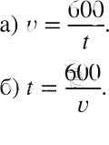
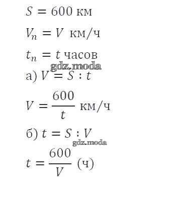
Решебник №3
упражнение / 181

Решебник №4
упражнение / 181

Решебник №5
упражнение / 181

Решебник №6
упражнение / 181

Решебник №7
упражнение / 181
