ОТВЕТ на задание № 198 Учебник по Алгебре 8 класс Макарычев
Учебник
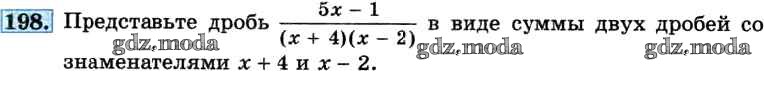
упражнение / 198

Решебник №1
упражнение / 198

Решебник №2
упражнение / 198

Решебник №3
упражнение / 198

Решебник №4
упражнение / 198

Решебник №5
упражнение / 198

Решебник №6
упражнение / 198

Решебник №7
упражнение / 198
