ОТВЕТ на задание № 214 Учебник по Алгебре 8 класс Макарычев
Учебник
упражнение / 214

Решебник №1
упражнение / 214

Решебник №2
упражнение / 214

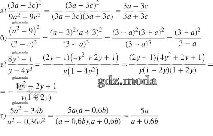
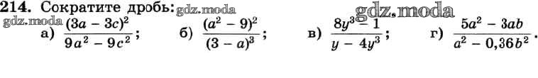
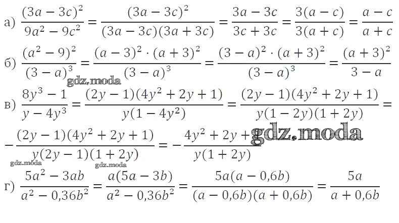
Решебник №3
упражнение / 214

Решебник №4
упражнение / 214


Решебник №5
упражнение / 214

Решебник №6
упражнение / 214

Решебник №7
упражнение / 214
