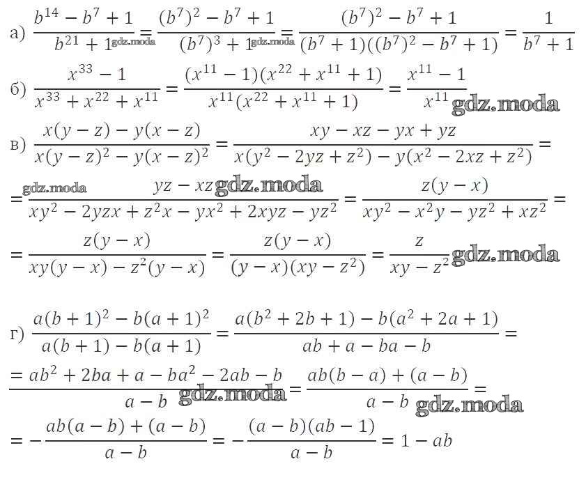
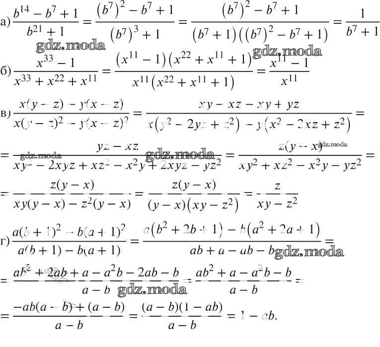
ОТВЕТ на задание № 216 Учебник по Алгебре 8 класс Макарычев
Учебник
упражнение / 216

Решебник №1
упражнение / 216

Решебник №2
упражнение / 216

Решебник №3
упражнение / 216

Решебник №4
упражнение / 216


Решебник №5
упражнение / 216

Решебник №6
упражнение / 216

Решебник №7
упражнение / 216
