ОТВЕТ на задание № 253 Учебник по Алгебре 8 класс Макарычев
Учебник
упражнение / 253

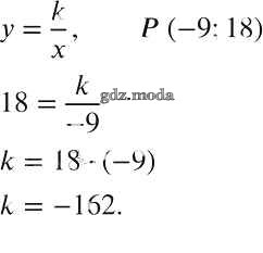
Решебник №1
упражнение / 253

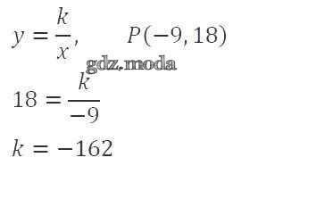
Решебник №2
упражнение / 253

Решебник №3
упражнение / 253

Решебник №4
упражнение / 253

Решебник №5
упражнение / 253

Решебник №6
упражнение / 253

Решебник №7
упражнение / 253
