ОТВЕТ на задание № 274 Учебник по Алгебре 8 класс Макарычев
Учебник
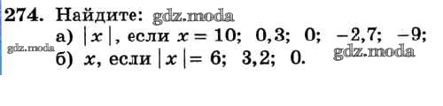
упражнение / 274

Решебник №1
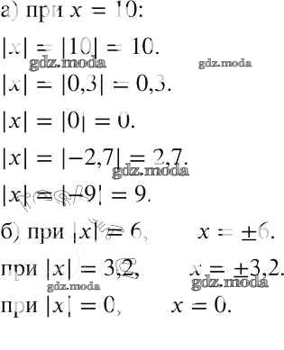
упражнение / 274

Решебник №2
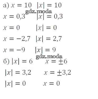
упражнение / 274

Решебник №3
упражнение / 274

Решебник №4
упражнение / 274

Решебник №5
упражнение / 274

Решебник №6
упражнение / 274

Решебник №7
упражнение / 274
