ОТВЕТ на задание № 288 Учебник по Алгебре 8 класс Макарычев
Учебник
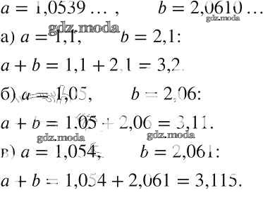
упражнение / 288

Решебник №1
упражнение / 288

Решебник №2
упражнение / 288

Решебник №3
упражнение / 288

Решебник №4
упражнение / 288

Решебник №5
упражнение / 288

Решебник №6
упражнение / 288

Решебник №7
упражнение / 288
