ОТВЕТ на задание № 294 Учебник по Алгебре 8 класс Макарычев
Учебник
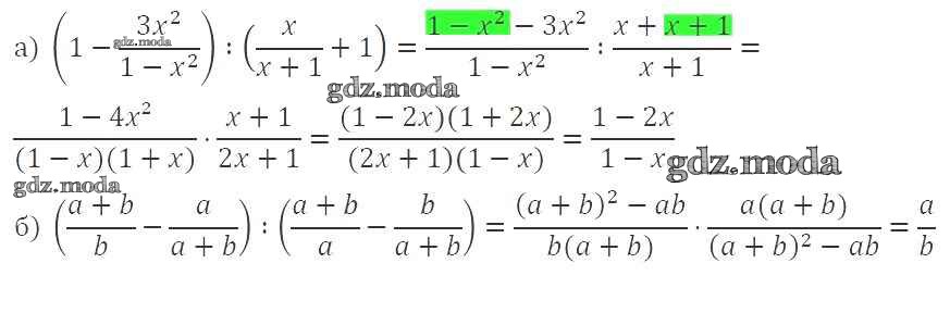
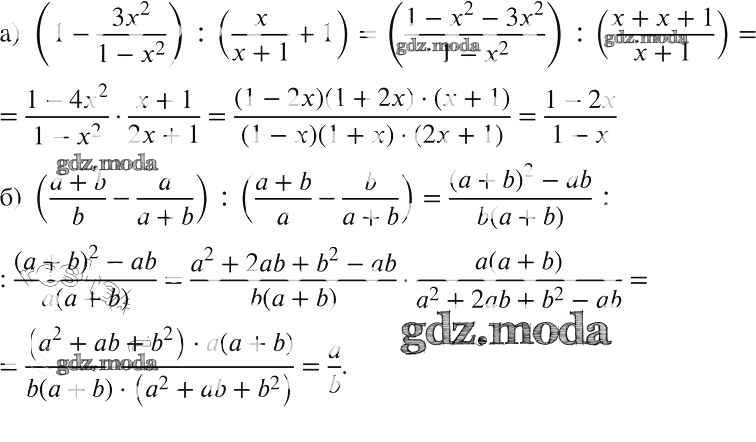
упражнение / 294

Решебник №1
упражнение / 294

Решебник №2
упражнение / 294

Решебник №3
упражнение / 294

Решебник №4
упражнение / 294


Решебник №5
упражнение / 294

Решебник №6
упражнение / 294

Решебник №7
упражнение / 294
