ОТВЕТ на задание № 3 Учебник по Алгебре 8 класс Макарычев
Учебник
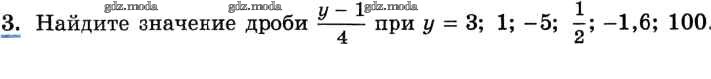
упражнение / 3

Решебник №1
упражнение / 3

Решебник №2
упражнение / 3

Решебник №3
упражнение / 3


Решебник №4
упражнение / 3


Решебник №5
упражнение / 3

Решебник №6
упражнение / 3

Решебник №7
упражнение / 3
