ОТВЕТ на задание № 301 Учебник по Алгебре 8 класс Макарычев
Учебник
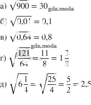
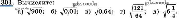
упражнение / 301

Решебник №1
упражнение / 301

Решебник №2
упражнение / 301

Решебник №3
упражнение / 301

Решебник №4
упражнение / 301

Решебник №6
упражнение / 301

Решебник №7
упражнение / 301
