ОТВЕТ на задание № 304 Учебник по Алгебре 8 класс Макарычев
Учебник
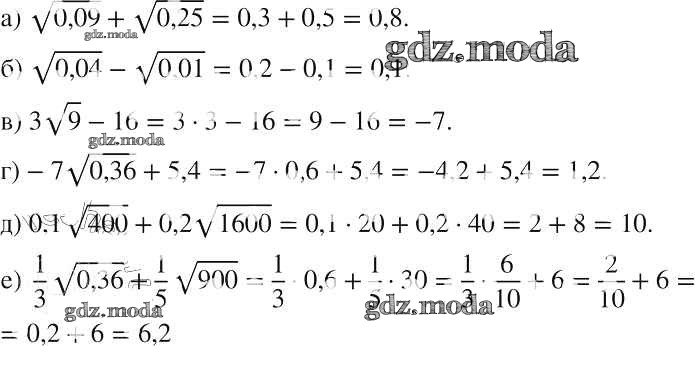
упражнение / 304

Решебник №1
упражнение / 304

Решебник №2
упражнение / 304

Решебник №3
упражнение / 304

Решебник №4
упражнение / 304


Решебник №6
упражнение / 304

Решебник №7
упражнение / 304
