ОТВЕТ на задание № 320 Учебник по Алгебре 8 класс Макарычев
Учебник
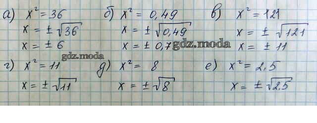
упражнение / 320

Решебник №1
упражнение / 320

Решебник №2
упражнение / 320

Решебник №3
упражнение / 320

Решебник №4
упражнение / 320


Решебник №5
упражнение / 320

Решебник №6
упражнение / 320

Решебник №7
упражнение / 320
