ОТВЕТ на задание № 324 Учебник по Алгебре 8 класс Макарычев
Учебник
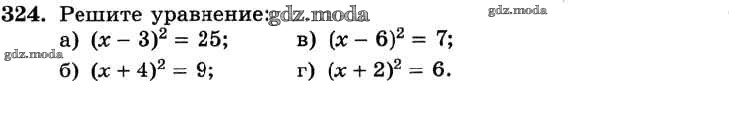
упражнение / 324

Решебник №1
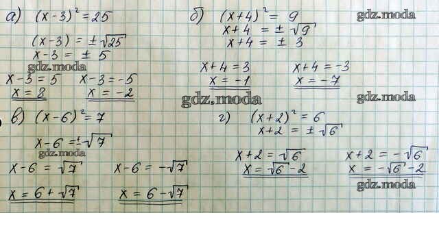
упражнение / 324

Решебник №2
упражнение / 324

Решебник №3
упражнение / 324


Решебник №4
упражнение / 324

Решебник №5
упражнение / 324

Решебник №6
упражнение / 324

Решебник №7
упражнение / 324
