ОТВЕТ на задание № 329 Учебник по Алгебре 8 класс Макарычев
Учебник
упражнение / 329

Решебник №1
упражнение / 329

Решебник №2
упражнение / 329

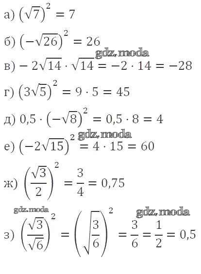
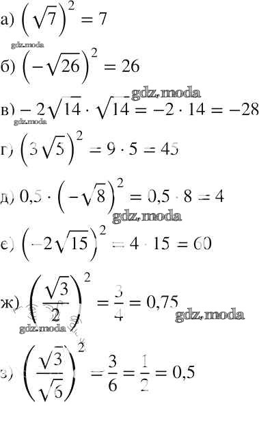
Решебник №3
упражнение / 329

Решебник №4
упражнение / 329


Решебник №5
упражнение / 329

Решебник №6
упражнение / 329

Решебник №7
упражнение / 329
