ОТВЕТ на задание № 33 Учебник по Алгебре 8 класс Макарычев
Учебник
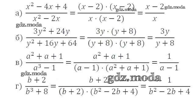
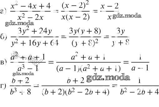
упражнение / 33

Решебник №1
упражнение / 33

Решебник №2
упражнение / 33

Решебник №3
упражнение / 33

Решебник №4
упражнение / 33


Решебник №5
упражнение / 33

Решебник №6
упражнение / 33

Решебник №7
упражнение / 33
