ОТВЕТ на задание № 334 Учебник по Алгебре 8 класс Макарычев
Учебник
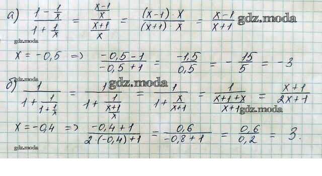
упражнение / 334

Решебник №1
упражнение / 334

Решебник №2
упражнение / 334

Решебник №3
упражнение / 334

Решебник №4
упражнение / 334

Решебник №5
упражнение / 334

Решебник №6
упражнение / 334

Решебник №7
упражнение / 334
