ОТВЕТ на задание № 336 Учебник по Алгебре 8 класс Макарычев
Учебник
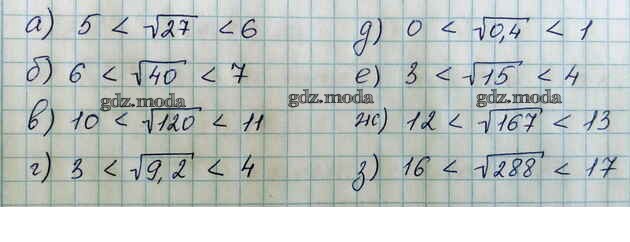
упражнение / 336

Решебник №1
упражнение / 336

Решебник №2
упражнение / 336

Решебник №3
упражнение / 336


Решебник №4
упражнение / 336

Решебник №5
упражнение / 336

Решебник №6
упражнение / 336

Решебник №7
упражнение / 336
